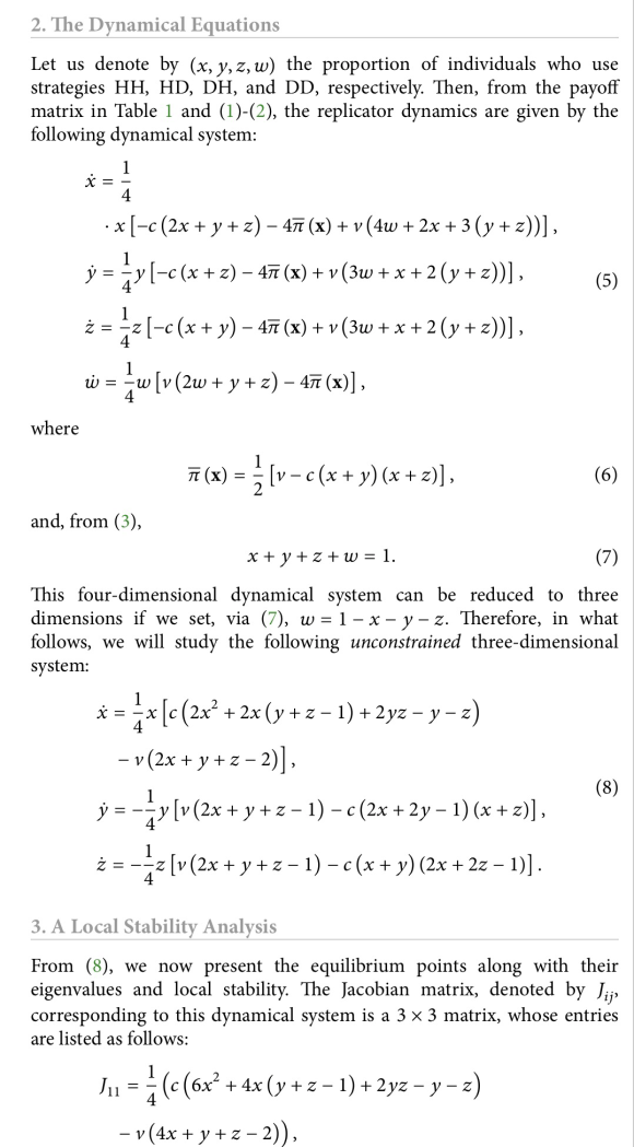
Categories Biology education Finance Game theory Mathematics Politics New publication: Game Theory and Dynamical Systems Post author By Dr. Ikjyot Singh Kohli Post date April 28, 2017 No Comments on New publication: Game Theory and Dynamical Systems Our new paper examining the dynamics of an asymmetric Hawk-Dove game was published in The International Journal of Differential Equations: Share this: Share on X (Opens in new window) X Share on Facebook (Opens in new window) Facebook Like Loading... Tags Biology, Dynamical Systems, Economics, Game theory, mathematics, Politics, science By Dr. Ikjyot Singh Kohli Sikh, Theoretical and Mathematical Physicist, main research in the structure and dynamics of Einstein's field equations. View Archive → ← Dynamical Systems in Cosmology Lectures → How to Beat the Golden State Warriors Leave a comment Cancel reply Δ